Per què és impossible que ens visitin els extraterrestres?
La velocitat de la llum com a límit còsmic i què implica per als viatges espacials

Introducció
T'has preguntat mai per què, per molta benzina que posem a un coet, sembla que hi ha un "topall" que no podem superar? Benvinguts al límit de velocitat més estricte del cosmos: la velocitat de la llum.
En aquest post explicarem de manera senzilla per què aquest límit existeix i què significa per al futur dels viatges espacials.
La velocitat de la llum és insuperable?
Sí, la velocitat de la llum al buit (aproximadament 299.792.458 metres per segon, sovint arrodonida a 300.000 km/s) continua sent un límit fonamental segons la nostra comprensió actual de la física.
Segons la teoria de la relativitat especial d'Einstein, que segueix sent vàlida i extensament verificada experimentalment:
- Cap objecte amb massa pot accelerar fins a assolir la velocitat de la llum, ja que requeriria energia infinita.
- La velocitat de la llum és constant en el buit per a tots els observadors, independentment del seu moviment.
- Funciona com un límit de velocitat còsmic per a la transferència d'informació i matèria.
Alguns matisos importants
Tot i que no podem viatjar més ràpid que la llum, la física teòrica ha imaginat possibles "dreceres". Idees com els forats de cuc o el motor de curvatura (o impulsor d'Alcubierre) no farien córrer la nau, sinó que deformarien l'espai-temps per escurçar el camí.
El problema és que, avui dia, aquestes idees només existeixen sobre el paper i requeririen formes d'energia que no sabem si són possibles.
També hi ha fenòmens com l'entrellaçament quàntic, però aquest no permet transmetre informació més ràpid que la llum, malgrat les aparences.
La motxilla infinita
Imagina que fas una cursa. Per anar més ràpid, necessites més energia. Si ets una persona, corres; si ets un cotxe, cremes benzina. Sembla lògic pensar que amb un motor prou gran podríem anar a qualsevol velocitat, oi? Doncs la física ens diu que no.
La llum no té "motxilla"
La llum està feta de partícules anomenades fotons, que tenen una característica especial: no tenen massa en repòs. Com que no han d'arrossegar massa, poden viatjar a la velocitat límit de l'univers.
Com més corres, més "et pesen les potes"
Einstein va descobrir que l'energia i la massa estan connectades. Quan un objecte amb massa (com una nau espacial) va cada vegada més i més ràpid, una part de l'energia que hi poses fa que el sistema es comporti com si fos cada vegada més difícil d'accelerar.
A la pràctica: com més t'apropes a la velocitat de la llum, més i més energia necessites per guanyar una mica més de velocitat. Arriba un punt en què, per avançar un pèl més, necessitaries una energia descomunal.
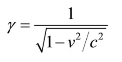
El rigor matemàtic: El Factor de Lorentz
Per als qui vulguin anar un pas més enllà, la clau de tot plegat es troba en el Factor de Lorentz anomenat gamma(γ), que descriu com canvia la realitat quan ens movem a velocitats extremes:

On:
- v és la teva velocitat del nostre objecte
- c és la velocitat de la llum.
Què ens diu aquesta fórmula?
Si intentessis anar exactament a la velocitat de la llum (v = c), la part inferior de la fracció seria zero. Com que no es pot dividir per zero, la fórmula ens diu que el resultat "tendeix a l'infinit": en altres paraules, necessitaries energia infinita per assolir aquesta fita.
I ara ve el punt clau que comentàvem: si intentessis anar més ràpid que la llum (v > c), llavors v2/c2 seria més gran que 1, i això faria que el que hi ha dins l'arrel quadrada seria negatiu. I una arrel quadrada d'un nombre negatiu dona un resultat "imaginari" (no és un nombre real). Aquesta és una manera matemàtica de veure que, dins d'aquest marc físic, superar la velocitat de la llum no és possible.
L'efecte sobre la massa (inèrcia)
Antigament es parlava de massa relativista, però avui dia els físics prefereixen dir que la massa en repòs és constant i que el que augmenta amb la velocitat és l'energia i el moment.
L'energia total d'un objecte en moviment ve donada per la fórmula:
E = γ·m₀·c²
Expressió relativista de l'energia total on:
m₀ → la massa en repòs (no canvia)
c → la velocitat de la llum
γ → el factor de Lorentz
Si la velocitat s'apropa a la de la llum, el factor γ es fa molt gran. I si γ tendeix a l'infinit, l'energia necessària també esdevé infinita. Per això no és possible assolir ni superar la velocitat de la llum.
No és que l'objecte es faci infinitament "pesant", sinó que requereix una energia infinita per continuar accelerant.
Està comprovada aquesta fórmula?
Sí. Aquesta fórmula no és una simple teoria elegant, sinó una de les més verificades de tota la física moderna. El factor de Lorentz s'ha comprovat experimentalment en multitud de situacions reals, especialment en acceleradors de partícules, on electrons, protons i altres partícules es mouen a velocitats molt properes a la de la llum.
En aquests experiments s'observa exactament el que prediu la teoria: com més s'apropa una partícula a la velocitat de la llum, més energia cal aportar-li per continuar accelerant-la. Malgrat afegir cada vegada més energia, la velocitat no supera mai el límit imposat per la llum.
Aquesta mateixa fórmula és imprescindible per explicar el funcionament de tecnologies quotidianes com el GPS, que ha de corregir els efectes relativistes del temps perquè la posició sigui precisa. Sense la relativitat d'Einstein, aquests sistemes fallarien.
Experiment de Michelson i Morley
L' experiment de Michelson i Morley (1887) és un dels més importants de la història de la física perquè va demostrar que la velocitat de la llum és la mateixa en totes les direccions. En aquell moment es creia que la llum es propagava a través d'un medi invisible anomenat "èter", i que el moviment de la Terra havia d'afectar la seva velocitat. Mitjançant un interferòmetre molt precís, van intentar detectar aquesta diferència, però no en van trobar cap. El resultat va ser sorprenent: la velocitat de la llum no depenia del moviment de la Terra. Aquest fet va posar en crisi la física clàssica i va obrir el camí a la relativitat especial, on la velocitat de la llum esdevé una constant fonamental de l'univers.
Fins avui, totes les observacions i experiments confirmen aquestes prediccions. No s'ha trobat cap excepció coneguda que permeti superar la velocitat de la llum, cosa que converteix aquest límit en una de les lleis més sòlides de la física actual.
Tornant als nostres amics extraterrestres...
Si mirem aquesta fórmula, veiem que per a un extraterrestre les regles són les mateixes. Si té massa, no pot arribar a c. Però aquí hi ha la "trampa" matemàtica per als viatges: la Dilatació del Temps.
Gràcies al mateix factor de Lorentz, el temps per a ells passaria més a poc a poc:
Δt = γ·Δto
Això vol dir que, encara que per a nosaltres el seu viatge trigui 1.000 anys, per a ells (si van molt a prop de c) podrien ser només unes setmanes. El problema és que, en tornar a casa seva, tots els seus coneguts haurien mort fa segles.
El límit de Lorentz no només és una barrera de velocitat, és una barrera de temps.
Llavors... mai ens visitaran els extraterrestres?
Si la velocitat de la llum és un mur insuperable, i les estrelles estan a distàncies enormes, significa que estem aïllats? No del tot. Els científics busquen "trampes" teòriques que no incompleixin les lleis d'Einstein:
- Forats de cuc: en lloc de recórrer una distància immensa, la idea és "plegar" l'espai-temps per crear una drecera (com unir dues puntes d'una catifa).
- E Motor de curvatura on no "mous" la nau a través de l'espai, sinó que manipules l'espai-temps (com si surfegessis una onada), comprimint l'espai davant teu i expandint-lo darrere.
Veure també el pots referent als forats negres
Conclusió:
Segons tot el que sabem avui, viatjar més ràpid que la velocitat de la llum no és possible. No és una limitació tecnològica que algun dia superarem amb motors més potents, sinó una conseqüència directa de les lleis fonamentals de la física: a mesura que un objecte amb massa s'apropa a aquesta velocitat, l'energia necessària per continuar accelerant creix fins a fer-se infinita.
Això no vol dir, però, que la ciència hagi deixat d'imaginar alternatives. Algunes teories especulatives proposen "trampes" com els forats de cuc o la deformació de l'espai-temps, que no superarien la velocitat de la llum, sinó que intentarien escurçar el camí. De moment, però, aquestes idees només existeixen sobre el paper i requereixen condicions que no sabem si són possibles.
Referències
- The Elegant Universe - Brian Greene (PBS)
- En teoría, es posible viajar más rápido que la luz
- La verdadera razón por la que nada puede ser más rápido que la luz
Bibliografia (llibres)
- Relativity: The Special and the General Theory - Albert Einstein. Project Gutenberg.
- A Brief History of Time - Stephen Hawking. Bantam Books.
- The Elegant Universe - Brian Greene. W. W. Norton & Company.
- Reality Is Not What It Seems - Carlo Rovelli. Riverhead Books.
- A Universe from Nothing - Lawrence M. Krauss. Free Press.
- Black Holes and Time Warps - Kip S. Thorne. W. W. Norton & Company.
- Spacetime and Geometry - Sean M. Carroll. Cambridge University Press.
Llibres en català (divulgació / física)
- El meu primer llibre de Relativitat - Sheddad Kaid-Salah Ferrón. Editorial Joventut. :contentReference[oaicite:0]{index=0}
- El meu primer llibre de Relativitat - Llibreria El Faristol. Divulgació científica en català. :contentReference[oaicite:1]{index=1}
Videos:
- Hay Algo Más Rápido Que La Velocidad De La Luz
- Factor de Lorentz: la luz como velocidad límite del universo
- AGUJEROS DE GUSANO
- Does anything move faster than the speed of light? - Physics Girl
- Miguel Alcubierre | Más rápido que la luz | Congreso Futuro 2018
- Viajes a través del espacio y el tiempo.Cosmos. Carl Sagan
- Historias asombrosas sobre la ciencia y el universo. José Edelstein, físico
Vídeos canal "Física en segundos" sobre la Teoria de la Relaitivitat:
- Teoría de la Relatividad, Parte 1
- Teoría de la Relatividad, Parte 2
- Teoría de la Relatividad, Parte 3
Àudios i podcasts